学术进展|如何用一束光,看见磁序的“指纹”?

发布人:邢玥

当你把一张纸对折,它的物理性质会改变——变得更厚、更硬,甚至折叠的方式也会影响光线如何从表面反射。那么,如果把一块磁体“折叠”呢?当一块材料的厚度仅有几个原子层时,它的磁性会发生什么变化?更重要的是——我们如何“看见”这种微观世界里的磁性变化?这正是二维磁性材料研究的核心问题。

看不见的磁性,看得见的振动

二维材料CrSBr,一种近年来备受关注的范德瓦尔斯磁体,它的特殊性在于:每一层原子内部,原子的磁矩整齐排列(铁磁有序);但层与层之间,磁矩方向却交替相反(反铁磁有序)。这种“层内铁磁、层间反铁磁”的结构,在二维材料家族中极为罕见。更有趣的是,CrSBr的电子结构和光学性质与其磁序深度耦合——这意味着,改变它的磁性,就能改变它对光的响应。这为研究者提供了一个独特的窗口:通过光学手段,去探测和调控微观磁序。

但问题在于:如何实现这种探测?如何把“磁性的变化”转换成“可测量的信号”?

磁序的三个“光学指纹”

近日,中山大学柔性电子学院顾铭强副教授与南方科技大学黄明远、刘奇航课题组合作,在国际知名学术期刊《ACS Nano》上发表了一项研究,回答了上述问题。他们利用拉曼光谱技术,系统研究了磁场如何调控CrSBr的声子振动——也就是原子在晶格中的集体振动。这些振动携带着材料结构和磁性的“指纹信息”。

研究发现,磁序的变化会在三个方面留下“光学痕迹”:


第一,磁序改变“光的音量”。

拉曼移动与外磁场强度的关系

当磁场沿材料易轴(b轴)施加时,CrSBr从反铁磁态转变为铁磁态。此时,多数拉曼峰的强度发生“断崖式”下降。这一现象源自磁序变化导致材料内部激子能级的移动,使得激发光与激子之间的“共振条件”被破坏——就像调整收音机的频率,信号突然变弱。这意味着,磁序可以像一个“音量旋钮”,直接调控光与物质的相互作用强度。

第二,磁序“召唤”出新的声子模式。

a轴自旋倾斜态下的区域折叠声子

  
 


 

当磁场沿a轴施加时,CrSBr进入一种特殊的“自旋倾斜态”——原子的磁矩不再完全平行或反平行,而是形成一个夹角。在这一状态下,拉曼光谱中突然出现了三个全新的振动峰。理论分析表明,这些新峰是原本位于布里渊区边界的声子模式,因磁序改变而被“折叠”到了可观测的Γ点。换句话说,磁序改变了晶格的对称性,让原本“隐身”的振动模式得以现身。


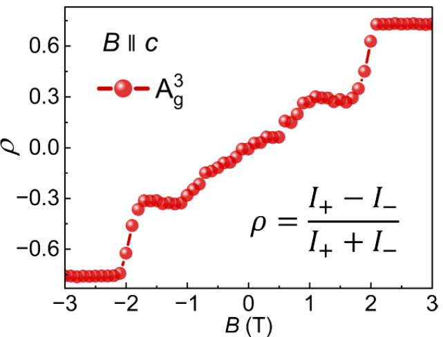
第三,磁序打破光的“左右平衡”。

拉曼振动模式的圆偏振度(ρ)随磁场的变化

当材料进入铁磁态后,研究者还观察到一个微妙的变化:对于左旋和右旋圆偏振光,CrSBr的拉曼散射强度不再相等。这种差异源于铁磁序在拉曼张量中引入了非对角项,改变了声子对不同偏振光的响应。这一发现的意义在于:磁序不仅可以调控光的强度,还可以调控光的偏振状态——这对于未来的自旋光电器件设计具有直接启示。

为什么这很重要?

二维磁性材料被认为是下一代自旋电子器件的基础,而自旋电子学的核心问题之一,就是如何高效地“写入”和“读出”磁信息。这项研究表明,拉曼光谱可以作为一种高灵敏的“磁序探针”,不仅能区分反铁磁和铁磁态,还能探测到更精细的自旋倾斜态,甚至区分不同层数的原子层中磁序的微小差异。更重要的是,研究揭示了磁序与晶格振动之间的深层耦合关系。这种耦合不仅是基础物理问题,也可能成为未来信息器件的功能基础——例如,通过磁场调控声子模式,进而影响材料的热导、电导或光学响应。

这项研究证明,我们可以用一束光,实时“看见”这些图案的变化——不仅能看见,还能分辨出不同图案的细微差别。该成果不仅展示了二维磁性材料中磁序与晶格振动之间的深刻联系,也为未来基于二维磁体的自旋光电器件、磁光调制器及量子信息器件的发展奠定了重要基础。

 

本研究由柔性电子学院顾铭强副教授与南方科技大学物理系陈军阳博士担任共同第一作者,南方科技大学黄明远教授和刘奇航教授课题组为合作单位。研究工作得到了国家自然科学基金、广东省普通高校重点实验室、深圳市科技计划等项目的资助。

 

论文来源:ACS Nano 2026, 20, 2655−2663